Во сколько раз уменьшилась интенсивность света
Пример решения задачи 11869
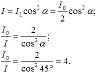
Условие Определить, во сколько раз уменьшится интенсивность естественного света, прошедшего через два поляризатора, главные плоскости которых образуют угол 45°.
Краткое условие
α = 45°
Найти
I
0/I ― ?
Решение
I
0 ― интенсивность падающего луча.
Естественный свет, проходя через николь, за счет поляризуемости теряет половину интенсивности:
I
1 = I
0/2.
Падая на второй николь, луч потеряет интенсивность по закону Малюса за счет угла между плоскостями поляризации николей:
Ответ: I
0/I = 4.
13955
Определите, во сколько раз уменьшится интенсивность естественного света, прошедшего через два николя, главные плоскости которых образуют угол в 60°, если каждый из николей как поглощает, так и отражает 5% падающего на них света.
80517
Во сколько раз уменьшается интенсивность естественного света после прохождения через два поляроида, главные плоскости которых составляют между собой угол 63°, если в каждом из поляроидов теряется 10% падающего света?
26185
Во сколько раз ослабляется интенсивность света, проходящего через два николя, плоскости пропускания которых образуют угол α = 30°, если в каждом из николей в отдельности теряется 10 % интенсивности падающего на него света?
26341
На сколько процентов уменьшается интенсивность света после прохождения через призму Николя, если потери света составляют 10%?
26346
Во сколько раз уменьшится интенсивность естественного света после прохождения двух николей, каждый из которых поглощает 10% падающего на него света, если угол между их плоскостями пропускания 60°?
26637
Естественный свет падает на систему из трех последовательно расположенных одинаковых поляроидов, причем плоскость пропускания среднего поляроида составляет угол φ = 60° с плоскостями пропускания двух других поляроидов. Каждый поляроид обладает коэффициентом пропускания τ = 0,81. Во сколько раз уменьшится интенсивность света после прохождения этой системы?
12023
Интенсивность светового пучка после прохождения естественного света через два поляроида уменьшилась в 6 раз. Определить процент потерь светового потока в связи с поглощением и отражением света в каждом поляроиде если угол между главными сечениями составляет 40 градусов.
13990
В области наибольшей чувствительности глаза при дневном освещении (λ = 0,5 мкм) порогу зрительного ощущения соответствует мощность света 4∙10–17 Вт. Сколько фотонов попадает в этом случае на сетчатку глаза за 1 с?
14250
Два поляризатора расположены так, что угол между их плоскостями пропускания равен 25°. Определить, во сколько раз уменьшится интенсивность естественного света при прохождении: 1) через один (первый) поляризатор, 2) через оба поляризатора. Коэффициент поглощения света в поляризаторе равен 0,08.
14672
На систему, состоящую из двух поляризаторов, падает естественный свет. Поляризаторы установлены друг относительно друга так, что интенсивность света, выходящего из второго поляризатора максимальна. Имеется кварцевая пластина толщиной 2 мм с постоянной вращения 15 град мм. Во сколько раз изменяет интенсивность света система, состоящая из двух поляризаторов и пластины, если: 1) кварцевую пластину поставить перед первым поляризатором; 2) перед вторым поляризатором?
14718
Плоско поляризованный свет падает на призму Николя, так что его плоскость колебаний составляет некоторый угол φ0 с плоскостью пропускания призмы. После того, как на пути падающего луча поставили кварцевую пластинку толщиной 0,5 мм, интенсивность света, выходящего из призмы, уменьшилась в 2,5 раза. Определить по этим данным угол φ0. Постоянная вращения кварца равна 30 град/мм, потерями света на поглощение в николе пренебречь.
16263
При прохождении естественного света через два николя, угол между плоскостями поляризации которых φ = 45°, происходит ослабление света. Коэффициент поглощения света в поляризаторе равен k1 = 0,08, а в анализаторе k2 = 0,1. Найдите, во сколько раз изменилась интенсивность естественного света после прохождения этой системы.
17034
Два николя N1 и N2 расположены так, что угол между их плоскостями пропускания составляет 60°. Определить во сколько раз уменьшиться интенсивность естественного света: 1) при прохождении через один николь N1? 2) при прохождении через оба николя? Коэффициент поглощения света в николе k = 0,05. Потери на отражение света не учитывать.
17047
Во сколько раз увеличится работа выхода электрона с поверхности металлической пластинки, если длина волны света, падающего на нее, уменьшится в 4 раза?
17108
Во сколько раз изменяется интенсивность линейно-поляризованного света при прохождении через два поляризатора, главные плоскости которых составляют угол 60° и при этом главная плоскость второго поляризатора параллельна плоскости поляризации падающего света?
17705
Интенсивность естественного света, прошедшего через поляризатор, уменьшилась в 2,3 раза. Во сколько раз она уменьшится, если за первым поставить второй такой же поляризатор так, чтобы угол между их главными плоскостями (оптическими осями), был равен 60°?
18036
Во сколько раз уменьшится интенсивность естественного света, прошедшего через три николя, если угол между главными плоскостями первого и второго николей составляет угол α1 = 30°, а угол между плоскостями второго и третьего α2 = 60°?
19304
В опыте Юнга расстояние между щелями равно d = 1,5 мм, расстояние от щелей до экрана l = 50 см, длина волны света λ = 5,5∙10–7 м. Во сколько раз интенсивность света на экране на расстоянии х = 0,5 мм от нулевой полосы меньше максимальной интенсивности?
21245
После прохождения естественного света через поляризатор его интенсивность уменьшается в 2,2 раза. Чему равен коэффициент пропускания поляризатора?
21550
Известно, что коэффициент пропускания света николя составляет 0,88. Во сколько раз изменится интенсивность естественного света при прохождении 1) через такой николь? 2) через два последовательно установленных николя, развернутых друг относительно друга своими плоскостями пропускания на угол 60°?
21553
На сколько процентов уменьшится интенсивность естественного света после прохождения через систему из трех последовательно расположенных николей, если каждый из них развернут по отношению к предыдущему на 30°, а потери света на поглощение в каждом николе составляют 8%?
21554
Три последовательно расположенных поляризатора установлены так, что плоскость пропускания последующего поляризатора составляет α = 20° с плоскостью пропускания предыдущего. Во сколько раз такая система ослабляет интенсивность естественного света? Во сколько раз изменится интенсивность света, выходящего из последнего поляризатора, если угол а увеличить до 30°?
21555
Естественный свет падает на систему из трех последовательно расположенных поляризаторов, причем плоскость пропускания среднего поляризатора составляет угол 60° с такими же плоскостями двух других поляризаторов. Каждый поляризатор обладает поглощением таким, что при падении на него поляризованного света коэффициент пропускания составляет 0,81. Во сколько раз уменьшится интенсивность света после прохождения такой системы?
21557
Плоско поляризованный свет падает на призму Николя, так что его плоскость колебаний составляет некоторый угол φ0 с плоскостью пропускания призмы. После того, как на пути падающего луча поставили кварцевую пластинку толщиной 0,5 мм, интенсивность света, выходящего из призмы, уменьшилась в 2,5 раза. Определить по этим данным угол φ0. Постоянная вращения кварца равна 30 град/мм. Потери света на поглощение в призме Николя составляют 10%.
22174
Первый поляризатор установлен так, что его плоскость пропускания вертикальна, второй поляризатор развернут по отношению к первому на угол 20°. Во сколько раз изменит интенсивность естественного света такая система? Под каким углом к вертикале нужно установить третий поляризатор, чтобы свет через такую систему не прошел?
22255
Пучок естественного света падает на систему из 4 николей, главная плоскость каждого из которых повернута на угол φ = 60° относительно главной плоскости предыдущего николя. Во сколько раз уменьшится интенсивность света, проходящего через эту систему? Поглощением света пренебречь.
22850На пути естественного света интенсивностью I
0 помещены две пластинки турмалина. После прохождения пластинки 1 свет полностью поляризован. Угол φ между направлениями ОО и O'O' равен 30°. Определить, во сколько раз уменьшается интенсивность прошедшего света I
2 по сравнению с I
0.

22851Естественный свет интенсивностью I
0 проходит через два поляроида, угол между осями пропускания которых равен 60°. Поглощение и отражение пропускаемого света не учитывать. Определить, во сколько раз уменьшается интенсивность прошедшего света I
2 по сравнению с I
0.

23308
Чему равен молярный показатель поглощения некоторого вещества, если при прохождении света через раствор с концентрацией 0,05 моль/л интенсивность света уменьшилась в 25 раз? Длина кюветы 0,5 см.
25414
Естественный свет проходит через два поляризатора, угол между главными плоскостями которых равен 30°. Во сколько раз уменьшится интенсивность света после прохождения этой системы? Считать, что каждый поляризатор отражает и поглощает 10% падающего на них света.