постоянное тангенциальное ускорение
Пример решения задачи 10010
Условие Точка движется по окружности радиусом R=30 см с постоянным угловым ускорением ε. Определить тангенциальное ускорение а
τ точки, если известно, что за время t=4 с она совершила три оборота и в конце третьего оборота ее нормальное ускорение
an=2,7 м/с
2.
Краткое условие
R = 30 см = 0,3 м
t = 4 с
а
n = 2,7 м/с
2
n = 3 оборота
ε = const
Найти
a
τ ― ?
Решение
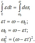
Напишем преобразования:

Разделим переменные и проинтегрируем:

В уравнении ε=dω/dt разделим переменные и проинтегрируем:

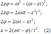
Подставим найденное выражение в уравнение (1).

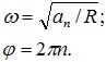
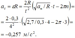
Найдём величины, входящие в уравнение (2), для момента времени t=4c.

откуда

Подставим эти выражения в уравнение (2):

Тогда
Ответ: a
n = 9,6 м/с
2; a
τ = –1,9 м/с
2.
11007
Точка движется по кривой с постоянным тангенциальным ускорением аτ = 0,5 м/с2. Определить полное ускорение а точки на участке кривой с радиусом кривизны R = 3 м, если точка движется на этом участке со скоростью v = 2 м/с.
26047
Первоначально покоившееся тело прошло за время t = 10 с полторы окружности радиуса R = 5 м с постоянным тангенциальным ускорением. Вычислить соответствующие этому промежутку времени значения: а) среднего модуля скорости <v>, б) модуля средней скорости |<v>|, в) модуля среднего ускорения |<a>|.
12100
Материальная точка начинает двигаться по окружности радиусом R = 6 м с угловым ускорением ε = At, где А — постоянная. Найти путь S, пройденный точкой к моменту времени, когда ее тангенциальное и нормальное ускорения станут равными друг другу.
20361
При посадке самолет касается поверхности со скоростью 288 км/ч и начинает торможение с постоянным ускорением. За седьмую секунду самолет проходит путь 28 м. Определите ускорение и скорость движения самолета в конце седьмой секунды.
20390
Материальная точка движется по параболе у = kх2 так, что ее ускорение параллельно оси у, а его модуль постоянен и равен w. Определить нормальную и тангенциальную составляющие ускорения точки как функции времени.
25662
Материальная точка начинает движение по окружности радиусом R = 23,7 см с постоянным тангенциальным ускорением aτ = 5,32 см/с2. Спустя какое время нормальное ускорение будет в 5,00 раз больше тангенциального?